线性数据结构
2022年4月14日
线性数据结构
1、数组
1.1知识点:
数组的优点:
- 存取速度快
数组的缺点:
- 事先必须知道数组的长度
- 插入删除元素很慢
- 空间通常是有限制的
- 需要大块连续的内存块
- 插入删除元素的效率很低
1.2实现一个动态数组
- 由于数组长度时固定的,因此动态数组,在每次新增元素时,需要判断是否需要扩容
public class Array<E>{
private E [] data;
//数组的实际个数 第一个没有元素的索引
private int size;
public Array(int capacity){
data = (E[])new Object[capacity];
size = 0;
}
public Array(E[] arr){
data = (E[])new Object[arr.length];
for (int i=0;i<arr.length;i++){
data[i] = arr[i];
size = arr.length;
}
}
//无参构造函数,默认的数组容量为10
public Array(){
this(10);
}
//获取数组中的元素个数
public int getSize(){
return size;
}
//获取数组的中容量
public int getCapacity(){
return data.length;
}
//判断数组是否为空
public boolean isEmpty(){
return size==0;
}
//向数组最后添加元素
public void addLast(E e){
add(size,e);//相当于调用指定插入(插入最后一个)
}
//向数组中第一位置插入元素
public void addFirst(E e ){
add(0,e);
}
//向数组指定位置插入插入元素
public void add(int index,E e){
if(size == data.length){//新增元素时,需要判断当前数组的容量是否够,如果不够会进行扩容
resize(getCapacity()*2);
}
if(index<0||index>size){
throw new IllegalArgumentException("传入的参数错误");
}
for(int i= size-1;i>=index;i--){//从数组元素末尾开始,依次将元素往后移一位
data[i+1] = data[i];
}
data[index] = e;
size++;
}
//对数组进行扩容,新创建一容量大的数组,将原数组 -> 新数组
public void resize(int newCapacity){
E[] newDate = (E[]) new Object[newCapacity];
for(int i=0;i<size;i++){
newDate[i] = data[i];
}
data = newDate;
}
//获取index位置的元素
public E get(int index){
if(index<0||index>=size){
throw new IllegalArgumentException("传入的参数错误");
}
return data[index];
}
public E getFirst(){
return get(0);
}
public E getLast(){
return get(size-1);
}
//修改某个位置的元素
public void set (int index,E e){
if(index<0||index>=size){
throw new IllegalArgumentException("传入的参数错误");
}
data[index] = e;
}
//查找数组中的元素
public boolean contains(E e){
for(int i=0;i<size;i++){
if(data[i].equals(e)){
return true;
}
}
return false;
}
//查找某个元素位置
public int find(E e){
for(int i=0;i<size;i++){
if(data[i].equals(e)){
return i;
}
}
return -1;
}
//从数组中删除index的元素,返回删除的元素
public E remove(int index){
if(index<0||index>=size){
throw new IllegalArgumentException("传入的参数错误");
}
E e = data[index];
for(int i=index+1;i<size;i++){
data[i-1] = data[i];
}
size--;
return e;
}
public E removefist(){
return remove(0);
}
public E removeLast(){
return remove(size-1);
}
//删除指定元素
public void reoveElement(E e){
int index = find(e);
if(index !=-1)
remove(index);
}
}
2、链表
2.1知识点
链表优点
- 空间没有限制
- 插入删除元素很快
链表缺点 存取速度很慢
2.2分类
- 单向链表 一个节点指向下一个节点。
- 双向链表 一个节点有两个指针域。
- 循环链表 能通过任何一个节点找到其他所有的节点,将两种(双向/单向)链表的最后一个结点指向第一个结点从而实现循环。
2.3实现单链表
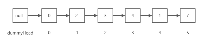
- 单链表的头节点有些特殊,在处理删除操作时,头节点,由于没有上一个节点指向它,因此处理时需要特殊处理,为了方便单链表操作,加一个虚拟头结点

public class LinkedList<E> {
private class Node{
public E e;
public Node next;
public Node(E e,Node next){
this.e = e;
this.next = next;
}
public Node(E e){
this(e,null);
}
public Node(){
this(null,null);
}
public String toString(){
return this.e.toString();
}
}
private Node dummyHead;
private int size;
//初始化链表时,默认头结点元素为空,指向的元素为空
public LinkedList(){
dummyHead = new Node(null,null);
size = 0;
}
}
2.3.1插入节点
- 例如:在index = 2处插入元素 10
思路
- 关键:找到要添加节点的前一个节点
- 先找到index=2的前一个元素 pre
- 元素10的下一个节点指向pre.next
- pre指向元素10

实现
public void add(int index,E e){
if(index<0||index>size){//校验 index 是否合法
throw new IllegalArgumentException("传入参数错误");
}
Node prev = dummyHead;
for(int i=0;i<index;i++){
prev = prev.next;//遍历找到 pre
}
Node node = new Node(e);
node.next = prev.next;
prev.next = node;
size++;
}
//在链表头添加元素e
public void addFirst(E e){
add(0,e);
}
//在链表末尾添加元素e
public void addLast(E e){
add(size,e);
}
2.3.2删除节点
- 例如:删除index=2的元素
思路:
找到index=2的上一个元素 pre
pre.next = 删除元素.next
删除元素.next = null

实现
//从链表中删除index的元素
public E remove(int index){
if(index<0||index>=size){
throw new IllegalArgumentException("传入参数错误");
}
Node prev = dummyHead;
for(int i=0;i<index;i++){
prev = prev.next;//遍历找到 pre
}
Node retNode = prev.next;//先暂存 要删除的node
prev.next = retNode.next;
retNode.next = null;
size--;
return retNode.e;
}
//删除第一个元素
public E removeFirst(){
return remove(0);
}
2.3.3查找节点
同之前删除,增加时找pre节点的逻辑,但是这里是找pre.next
//获取链表第index位置的元素
public E get(int index){
if(index<0||index>=size){
throw new IllegalArgumentException("传入参数错误");
}
Node cur = dummyHead.next;
for(int i=0;i<index;i++){
cur = cur.next;
}
return cur.e;
}
//查找链表中是否有元素e
public boolean contains(E e){
Node cur = dummyHead.next;
while (cur!=null){
if(cur.e.equals(e)){
return true;
}else {
cur = cur.next;
}
}
return false;
}
2.3.4其它操作
- 获取链表大小
public int getSize(){
return size;
}
- 判断链表是否为空
public boolean isEmpty(){
return size==0;
}
2.3.5小优化
新增删除操作,都有一个寻找index的前驱节点的操作,可以单独把该方法抽取出来,参考双链表实现
2.4实现双向链表
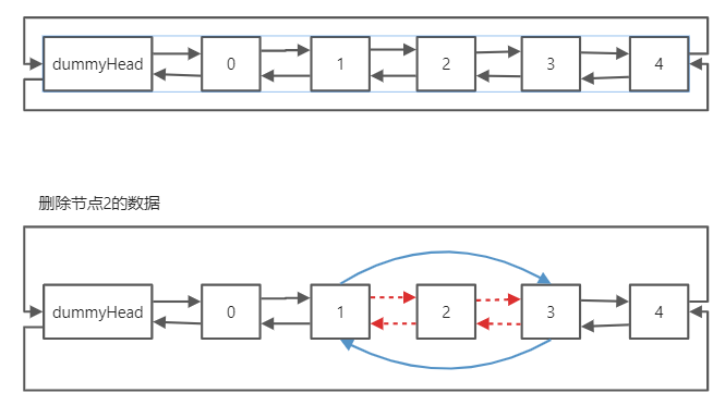
双向链表(双链表)是链表的一种。和单链表一样,双链表也是由节点组成,它的每个数据结点中都有两个指针,分别指向直接后继和直接前驱。所以,从双向链表中的任意一个结点开始,都可以很方便地访问它的前驱结点和后继结点。一般我们都构造双向循环链表。

- 表头为空,表头的后继节点为节点“0”,节点“4”的后继的节点为表头
2.4.1双链表的基础操作
- 构造函数、获取链表大小、判断链表是否为空
public class DoubleLink<T> {
// 表头
private DNode<T> dummyHead;
// 节点个数
private int size;
// 双向链表“节点”对应的结构体
private class DNode<T> {
public DNode prev;
public DNode next;
public T value;
public DNode(T value, DNode prev, DNode next) {
this.value = value;
this.prev = prev;
this.next = next;
}
}
//构造函数
public DoubleLink(){
dummyHead = new DNode<>(null,null,null);//初始化时,表头没有数据
dummyHead.prev = dummyHead.next = dummyHead;
size = 0;
}
}
- 获取链表第index位置的节点
//获取第index位置的元素
private DNode<T> getNode(int index){
if(index<0||index>size){
throw new IllegalArgumentException("传入参数错误");
}
int mid = size/2;
//正向查找
if(index<mid){
DNode dNode = dummyHead.next;
for (int i=0;i<index;i++){
dNode = dNode.next;
}
return dNode;
}
//反向查找
DNode dNode = dummyHead.prev;
for(int i=0;i<(size-index-1);i++){
dNode = dNode.prev;
}
return dNode;
//获取第index节点的值
public T get(int index){
return getNode(index).value;
}
//获取第一个节点的值
public T getFirst(){
return getNode(0).value;
}
//获取最后一个节点的值
public T getLast(){
return getNode(size-1).value
}
}
2.4.2双链表删除节点

- 删除第index=2位置的节点
- 思路:
- 找到index位置的前驱1和后继3
- 修改前驱1的后继为3
- 修改后继3的前驱为1
- 实现
//删除第index位置元素
public void remove(int index){
DNode inode = getNode(index); //获取index位置的元素
DNode preNode = inode.prev; //获取index位置前驱
DNode nextNode = inode.next;//获取index位置的后继
preNode.next = nextNode;
nextNode.prev = preNode;
inode=null;
size--;
}
//删除第一个节点
public void removeFirst(){
remove(0);
}
//删除最后一个节点
public void removeLast(){
remove(size-1);
}
2.4.3双链表添加节点

- 在index=2位置添加元素
- 思路
- 找到index位置的元素2,新节点在2的前面插入
- 让new的后继指向2,前驱指向1
- 让1的后继指向new 2的前驱指向new
- 注意:插入第一个元素和末尾元素的特殊情况,因为它们的相邻节点为dummyHead,根据dummyHead的特殊性插入。可避免size=0的特殊情况
//在index位置插入元素
public void add(int index, T t){
if(index==0){//index=0时,需要特殊处理,因为此时 0 的前驱为dummyHead 测试发现 这里不特殊处理也行
DNode newNode = new DNode<>(t,dummyHead,dummyHead.next);
dummyHead.next.prev = newNode;//先把原 dummyHead的后继的前驱指向 new
dummyHead.next = newNode;//再把dummyHead.next 指向 new
size++;
return;
}
DNode iNode = getNode(index);
DNode newNode = new DNode<>(t,iNode.prev,iNode);
DNode pre = iNode.prev;
pre.next =newNode;
iNode.prev = newNode;
size++;
}
//插入第一个元素
public void addFirst(T t){
add(0,t);
}
//插入最后一个元素
// 注意:这里不可以直接调用 add(int index, T t)方法,测试发现,这里只能这样写,因为当size = 0 时,index会无效
public void addLast(T t){
DNode newNode = new DNode<>(t,dummyHead.prev,dummyHead);
dummyHead.prev.next = newNode;
dummyHead.prev = newNode;
size++;
}
2.4.4遍历链表
@Override
public String toString(){
StringBuilder stringBuilder = new StringBuilder();
DNode dNode = dummyHead.next;
while (dNode.value!=null){
stringBuilder.append(dNode.value);
stringBuilder.append("==>");
dNode = dNode.next;
}
return stringBuilder.toString();
}
3、栈
3.1知识点
栈(stack),是一种线性存储结构,它有以下几个特点:
- 栈中数据是按照"后进先出(LIFO, Last In First Out)"方式进出栈的。
- 向栈中添加/删除数据时,只能从栈顶进行操作。
栈通常包括的三种操作:push、peek、pop。
- push -- 向栈中添加元素。
- peek -- 返回栈顶元素。
- pop -- 返回并删除栈顶元素的操作。
栈的示意图

- 出栈

- 入栈

3.2实现栈
3.2.1数组实现栈
- 用我们之前的实现的动态数组,很容易实现栈
public class ArrayStatck<E> implements Statck<E>{
Array<E> array;
public ArrayStatck(int capacity){
array = new Array<>(capacity);
}
public ArrayStatck(){
array = new Array<>();
}
@Override
//查看栈一共多少个元素
public int getSize() {
return array.getSize();
}
@Override
//判断栈是否为空
public boolean isEmpty() {
return array.isEmpty();
}
public int getCapacity(){
return array.getCapacity();
}
@Override
//向栈中添加一个元素 入栈
//由于栈是 后进先出的原则,因此在添加元素时,相当于数组的 addLast方法
public void push(E e) {
array.addLast(e);
}
@Override
//从栈中拿出栈顶的元素 出栈
public E pop() {
return array.removeLast();
}
@Override
//看栈顶的元素是谁
public E peek() {
return array.getLast();
}
public String toString(){
StringBuilder res = new StringBuilder();
res.append("Stack: ");
res.append("[");
for(int i=0;i<array.getSize();i++){
res.append(array.get(i));
if(i!=array.getSize()-1){
res.append(",");
}
}
res.append("] top");
return res.toString();
}
}
3.2.2链表实现栈
- 这里用双链表实现栈
public class DoubleLinkStatic<E> implements Statck<E> {
private DoubleLink doubleLink;
public DoubleLinkStatic(){
doubleLink = new DoubleLink<>();
}
@Override
public int getSize() {
return doubleLink.getSize();
}
@Override
public boolean isEmpty() {
return doubleLink.isEmpty();
}
@Override
public void push(E e) {
doubleLink.addLast(e);
}
@Override
public E pop() {
E e = (E) doubleLink.getLast();
doubleLink.removeLast();
return e;
}
@Override
public E peek() {
E e = (E) doubleLink.getLast();
return e;
}
@Override
public String toString(){
return doubleLink.toString();
}
}
4、队列
4.1知识点
队列(Queue),是一种线性存储结构。它有以下几个特点:
- 队列中数据是按照"先进先出(FIFO, First-In-First-Out)"方式进出队列的。
- 队列只允许在"队首"进行删除操作,而在"队尾"进行插入操作。
队列通常包括的两种操作:入队列 和 出队列。
队列示意图

- 出队

- 入队

4.2实现队列
4.2.1数组实现队列
public class ArrayQueue <E> implements Queue<E>{
private Array<E> arrayE;
public ArrayQueue(int capacity){
arrayE = new Array<>(capacity);
}
public ArrayQueue(){
arrayE = new Array<>();
}
@Override
public int getSize() {
return arrayE.getSize();
}
@Override
public boolean isEmpty() {
return arrayE.isEmpty();
}
@Override
//像队列添加元素 在末尾添加
public void enque(E e) {
arrayE.addLast(e);
}
@Override
//从队列中拿出元素 在头拿出
public E dequeue() {
return arrayE.removefist();
}
@Override
//查看队首是谁
public E getFront() {
return arrayE.getFirst();
}
@Override
public String toString(){
StringBuilder res = new StringBuilder();
res.append("Queue: ");
res.append("front [");
for(int i=0;i<arrayE.getSize();i++){
res.append(arrayE.get(i));
if(i!=arrayE.getSize()-1){
res.append(",");
}
}
res.append("] tail");
return res.toString();
}
}
4.2.2链表实现队列
- 这里用双链表实现
public class DoubleLinkQueue <E> implements Queue<E>{
private DoubleLink doubleLink;
public DoubleLinkQueue(){
doubleLink = new DoubleLink();
}
@Override
public int getSize() {
return doubleLink.getSize();
}
@Override
public boolean isEmpty() {
return doubleLink.isEmpty();
}
@Override
public void enque(E e) {//入队
doubleLink.addLast(e);
}
@Override
public E dequeue() {//出队
E e = (E) doubleLink.getFirst();
doubleLink.removeFirst();
return e;
}
@Override
public E getFront() {//获取堆首元素
E e = (E) doubleLink.getFirst();
return e;
}
@Override
public String toString(){
StringBuilder res = new StringBuilder();
res.append("Queue: ");
res.append("front [");
res.append(doubleLink.toString());
res.append("] tail");
return res.toString();
}
}
